据大工环境膜技术微信公众平台2019年4月16日讯 含油废水是一种常见的量大面广污染物,对环境保护和生态平衡危害极大。膜分离技术作为一种新型、**的分离技术,在含油废水的处理方面起着举足轻重的作用,工业过程中排放的高温凝结水含有乳化液,且温度较高(80~120℃),直接分离是目前膜技术面临的重要难题。因此,急需开发耐热性和分离性能兼顾的**膜材料。

Fig. 1. Cartoon of theoil/water separation process by mullite-CNT composite membrane.
无机陶瓷膜具有耐高温的**性能,特别适合处理高温凝结水等应用。但传统的无机膜制备方法如溶胶凝胶法的制备过程复杂、工序繁琐和条件苛刻导致能耗和成本较高,而且要获得小孔径的膜如超滤膜或纳滤膜十分困难,难以实现可控性规模制备。因此,开辟和尝试新的简单制备方法以实现可调控制备超滤膜具有实际价值。

| Fig. 2. (a) Enlarged cross-sectional SEM image ofmullite substrate (the inset shows a typical inner surface SEM image), (b)cross sectional SEM image of mullite substrate (c) photograph of mullitesubstrate (left) and mullite-CNT membrane (right); (d) low magnificationcross-sectional SEM image of mullite-CNT membrane; (e) higher magnificationcross-sectional SEM image of mullite-CNT membrane; (f) EDS element linescanning image of mullite-CNT membrane; (g) surface SEM image of mullite-CNTmembrane. |
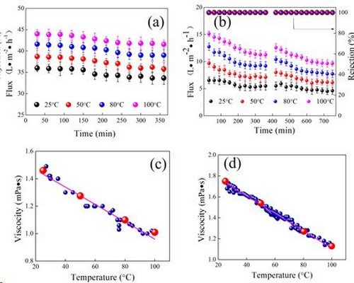
针对上述技术瓶颈问题,在前期工作基础上(Nano Letters,18 (9) (2018) 5514–5521;WaterResearch, 90 (2016) 277-285;Journal of the European Ceramic Society, 35 (2015) 711-721.等),朱丽博士(董应超教授博士生)等人尝试利用化学气相沉积法(Chemical vapor deposition, CVD)在中空纤维莫来石陶瓷支撑体上原位生长碳纳米管(Carbon nanotubes, CNTs) 超滤膜。该法主要是运用纳米尺度的过渡金属作为催化剂,热解含碳的气源在陶瓷基载体上原位制备碳纳米管膜层。在高温乳化油分离实验中,当温度从25℃上升到100℃时,CNTs 复合陶瓷超滤膜对油的截留率依然保持在99.9%以上,能够有效实现油水分离,复合膜具有良好的耐高温性能,对高温凝结水不需降温可直接进行处理,既可以省去前处理降温工艺和节省能源,同时又避免了在降温过程中凝结水的二次污染。节省能源的同时又降低了运行成本。陶瓷基碳纳米管复合膜不仅在高盐废水处理方面具有很好的应用潜力(前期工作:Nano Letters 18(9) (2018) 5514–5521),在工业高温凝结水处理领域也将具有广阔的应用前景。

| Fig. 3. Variations in permeation fluxwith separation time for pure water (a); variation of permeation flux and oilrejection with separation time for O/W emulsions (with concentration of 200mg·L-1) (b) at different membrane operating temperatures (25℃, 50℃, 80℃ and 100℃) and variation of viscosity with membrane operating temperature forpure water (c) and O/W emulsions (d). |
上述研究成果以“Fabrication of mullite ceramic-supported carbonnanotube composite membranes with enhanced performance in direct separation ofhigh-temperature emulsified oil droplets”为题发表于膜领域重要学术期刊Journal of Membrane Science上(Journal of Membrane Science, 582 (2019) 140-150)(IF=6.578,2017年),**作者为朱丽博士,通讯作者为董应超教授。同时相关研究成果也申请了两项**(国家发明**“一种碳纳米管/多孔陶瓷中空纤维复合超滤膜、制备方法及用途”,申请号:201511002441.6;国家发明**“一种莫来石陶瓷中空纤维膜及其制备方法”,申请号:201511002471.7)
项目研究工作得到了国家自然科学基金(No.21876020)、兴辽英才计划(No.XLYC1807250)、辽宁自然科学基金**项目(No.20180510005)、中央高校基本科研业务费专项资金(大连理工大学人才引进专项资金No.DUT18LAB02和**实验室科研专题No.DUT16RC(3)050)、高等学校学科创新引智计划(111计划,持久性有毒物质的污染预防与控制创新引智基地)等的联合资助。本工作也得到了大连理工大学环境学院杨凤林教授的指导,同时,感谢天津大学Michael D. Guiver教授和华南理工大学董新法教授的帮助与支持。
作者简介:
朱丽,女,工学博士,一直从事陶瓷膜与环境应用方面的研究工作,在国际重要学术期刊Water Res. J. Membr. Sci., J. Eur. Ceram. Soc., Chemosphere和RSC Adv.等发表论文16篇(SCI收录12篇),其中**作者SCI论文7篇,3项发明**,多次获得各类奖学金。